• Предмет: Алгебра
  • Автор: Аноним
  • Вопрос задан 7 лет назад

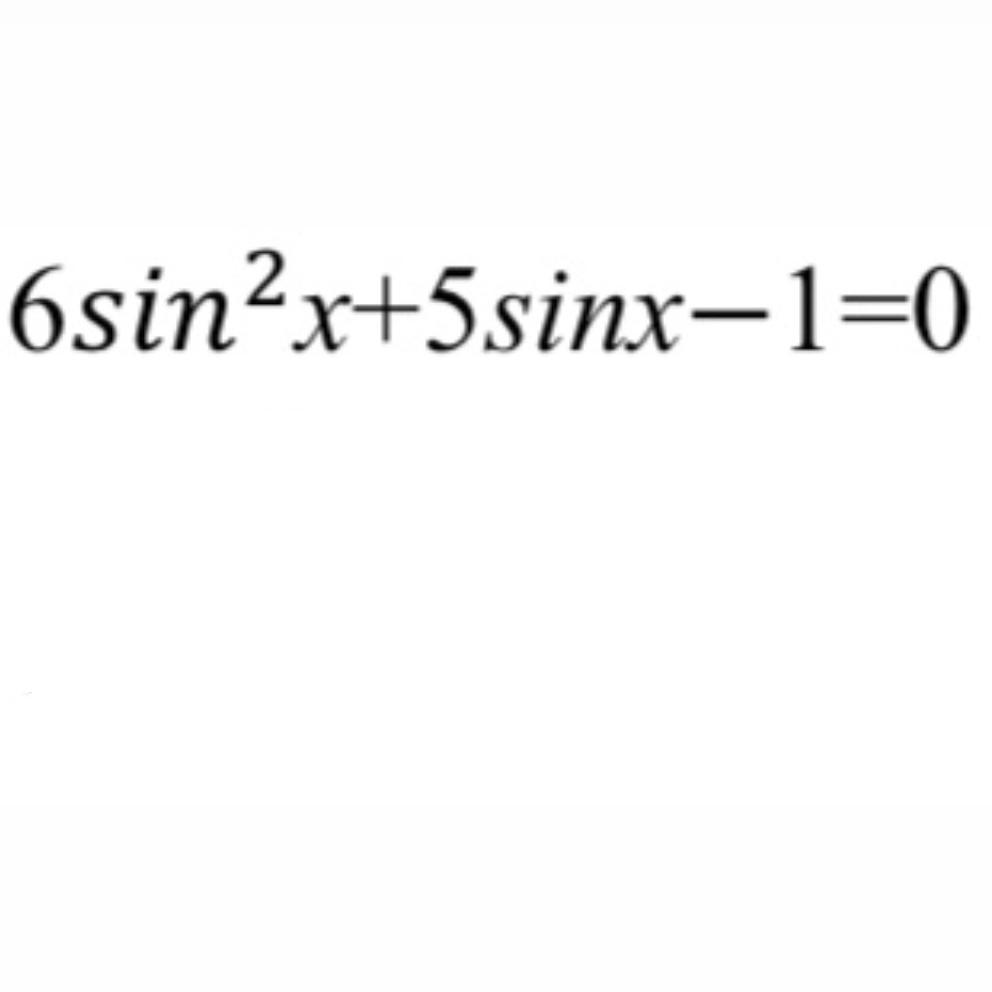
Допоможіть
Распишить оберн заміну або зробіть фото

Приложения:

Ответы

Ответ дал: yevheniiavz
1

дивіться фото..........................

Приложения:

Аноним: Можеш дать свою соц сеть?
Аноним: Как понят какой период?
Вас заинтересует