• Предмет: Физика
  • Автор: koshelevarur28
  • Вопрос задан 7 лет назад

СРОЧНО!!!
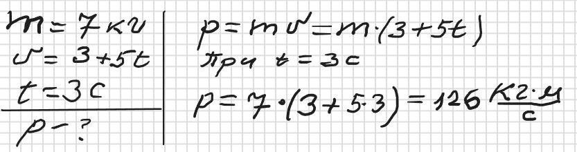
Тіло масою 7 кг рухається у відповідності рівнянню υ= 3 + 5t. Визначить, який імпульс набуває тіло через 3 с від початку руху та силу взаємодії?

Ответы

Ответ дал: zybkov1950
1

Відповідь: 126 кг·м/с

Пояснення:

Приложения:

antonalllahverdiev: помогите пожалуйста с моим вопросом
koshelevarur28: Дякую тобі мій друже.
Вас заинтересует