• Предмет: Алгебра
  • Автор: mayeralisa
  • Вопрос задан 7 лет назад

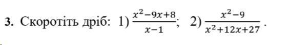
задание на фото. дам 100 баллов

Приложения:

Ответы

Ответ дал: Nicolya28
1

Ответ:

1) х-8

2) (x-3)/(x+9)

Несколько букв, чтоб было 20 символов.

Приложения:
Ответ дал: BaNdyoffic
2

Ответ:

1) х-8

2) (x-3)/(x+9)

Объяснение:

Вас заинтересует