• Предмет: Математика
  • Автор: 13031303wer
  • Вопрос задан 7 лет назад

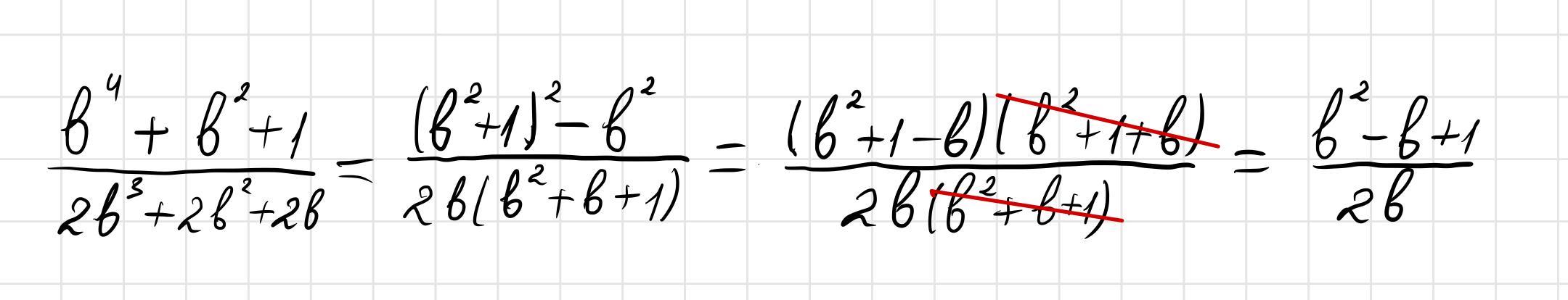
Сократите дробь
b^4+b^2+1/

2b^3+2b^2+2b

Приложения:

Ответы

Ответ дал: skataka
1

Ответ: см вложение

…………..

Приложения:
Вас заинтересует