• Предмет: Математика
  • Автор: trisslover696
  • Вопрос задан 7 лет назад

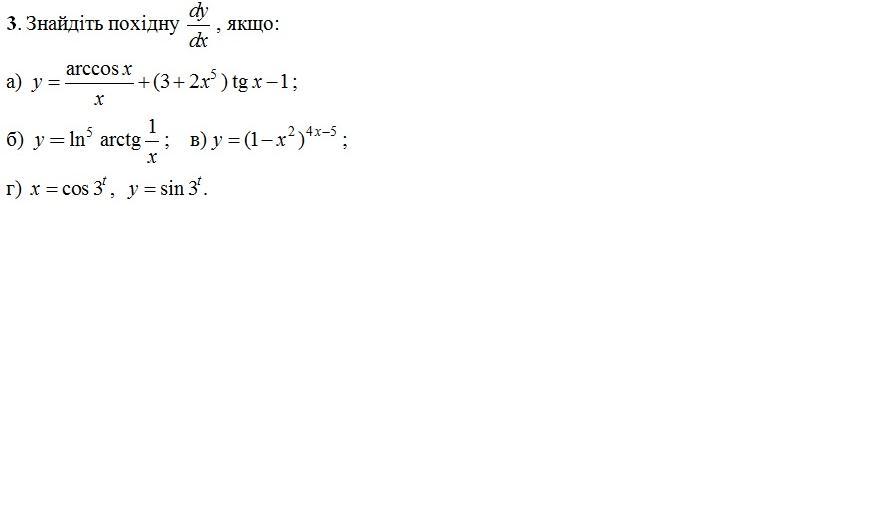
Знайдіть похідну dy dx якщо

Приложения:

Ответы

Ответ дал: lilanagapetan
0

Ответ:

извиние

Пошаговое объяснение:

можно пожалуйста подсказать, какой это класс?

Вас заинтересует