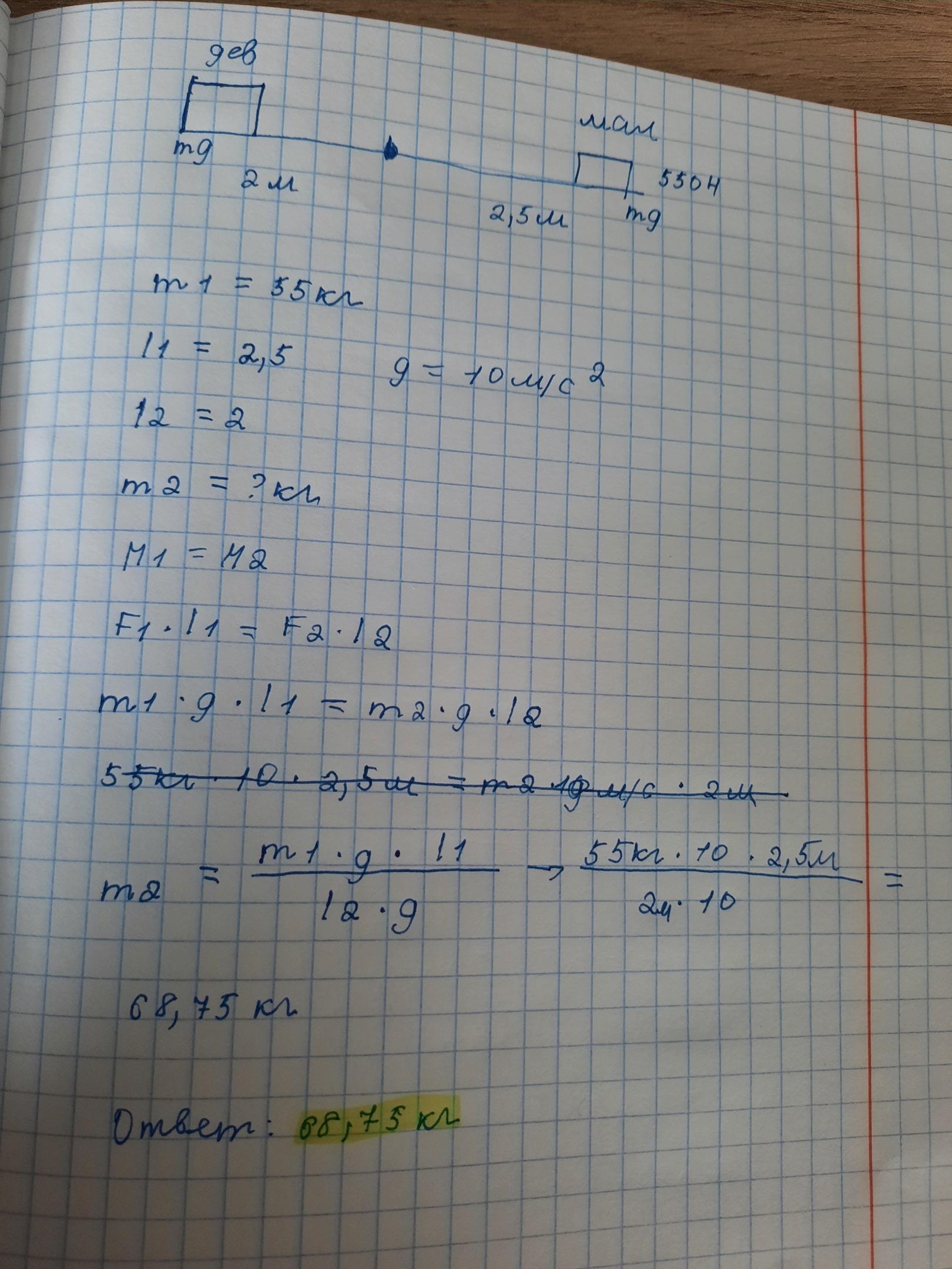
Дети качаются на качелях. Девочка Катя сидит на одном плече качели, длина которого равна 2 метра, а длина плеча, на котором сидит мальчик Иван, равна 2,5 метра. Найти массу девочки, если масса мальчика 55 кг, учитывая, что дети нашли равновесие качелей? (Ускорение свободного падения берём равным 10 м/с^2). P.S.
СРОЧНО!!
Ответы
Ответ дал:
1
Ответ: 68.75 кг
Чем меньше плечо, тем больше сила!
Приложения:

Вас заинтересует
2 года назад
2 года назад
2 года назад
8 лет назад
9 лет назад