• Предмет: Физика
  • Автор: hvntnm
  • Вопрос задан 7 лет назад

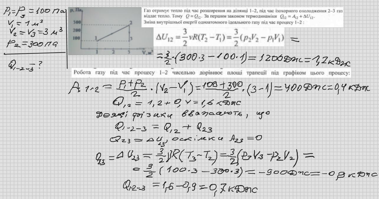
з ідеальним одноатомним газом незмінної маси відбувається процес 1-2-3, що відображені на графіку. яку кількість теплоти отримав газ у процесі 1-2-3? відповідь запишіть у кілоджоулях.​

Приложения:

zybkov1950: Кількість теплоти залежить ще й від кількості речовини "ню", якої в умові не дано!!!
hvntnm: ну капєц. і що тепер робити
hvntnm: а, я цю вирішила сама вже, дякую
zybkov1950: Я помилився "ню" не потрібно, там є p i V. Однак на аналогічній задачі на ЗНО 2014 р. вважали правильними дві відповіді: одна- теплоту газ отримує на ділянці 1-2; друга- різниця між отриманою на ділянці 1-2 і відданою на ділянці 2-3. Залежить від трактування слова "отримав"

Ответы

Ответ дал: zybkov1950
0

Відповідь:Див. додаток

Пояснення:

Приложения:
Вас заинтересует