• Предмет: Математика
  • Автор: irinatener
  • Вопрос задан 7 лет назад

Решите задание пожалуйста!

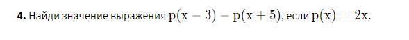
Приложения:

Ответы

Ответ дал: svpearl
1

Ответ:

p(x-3)-p(x+5)=px-3p-px-5p= -3p-5p= -8p

если р=2х

-8*2х=-16х

Пошаговое объяснение:


irinatener: Спасибо! Правильно
svpearl: Надеюсь помогла!
Вас заинтересует