Ответы
Ответ дал:
0
Ответ:
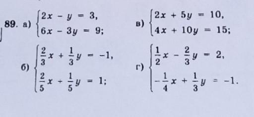
б) и в) нет решения
Пошаговое объяснение:
.................
Приложения:




Вас заинтересует
2 года назад
8 лет назад
8 лет назад
9 лет назад