• Предмет: Алгебра
  • Автор: alekssavchenkocom
  • Вопрос задан 7 лет назад

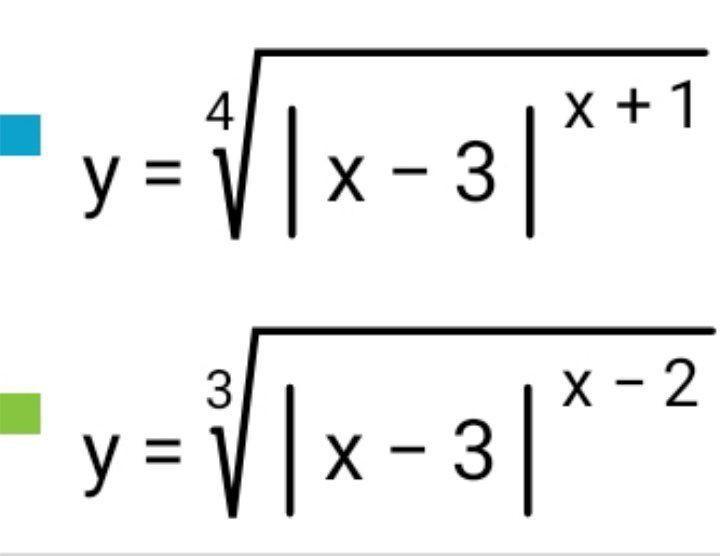
помогите пожайлусто ​

Приложения:

xacku2020: х=3 подбор
xacku2020: и х=11

Ответы

Ответ дал: Romarik25
1

Ответ:

Ответ ниже. Удачи!. Пожалуйста сделай ответ лучший!!!. Спасибо.

Приложения:

xacku2020: а решение
Romarik25: щас исвини
Romarik25: пожалуйста
Romarik25: забыл
Romarik25: Вот всё решил. Пожалуйста сделайте ответ лучший. Я старался!
Вас заинтересует