Ответы
Ответ дал:
1
Ответ:
Пошаговое объяснение:
решение внизу
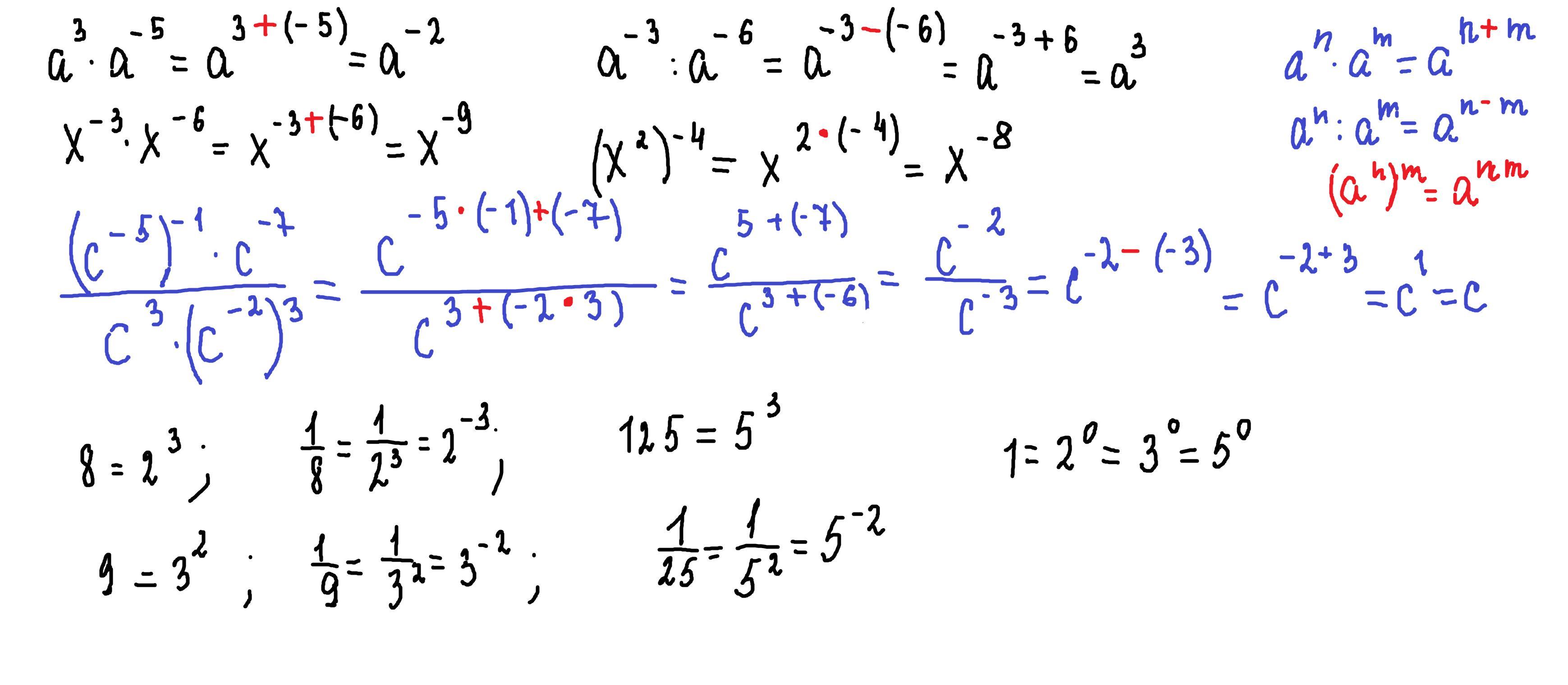
при умножении степеней с одинаковым основанием показатели складыаются,при делении-вычитаются,при возведении степени в степень-перемножаются.
любое число в 0 степени равно 1
Приложения:

Вас заинтересует
2 года назад
8 лет назад
9 лет назад