• Предмет: Математика
  • Автор: lenkinai757
  • Вопрос задан 7 лет назад

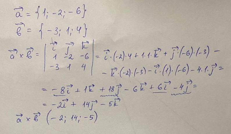
Найти векторное произведение векторов = {1; -2; -6} и = {-3; 1; 4}.
Пожалусто вставте расписаный ответ (можно сриншот или фото)

Ответы

Ответ дал: nkzarubina
0

Ответ:

{-2; 14; -5}

Пошаговое объяснение:

Приложения:
Вас заинтересует