• Предмет: Алгебра
  • Автор: gaisanovwznaniah
  • Вопрос задан 7 лет назад

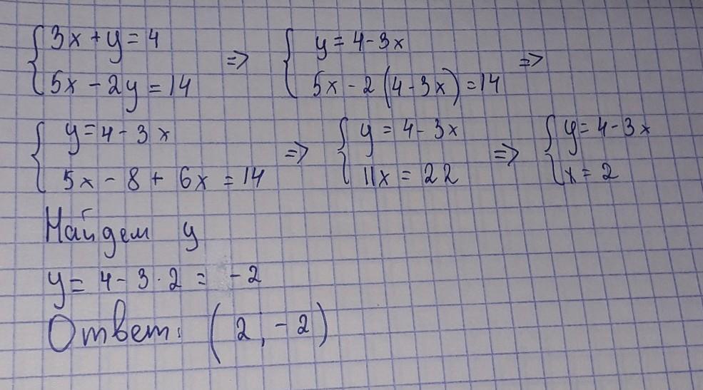
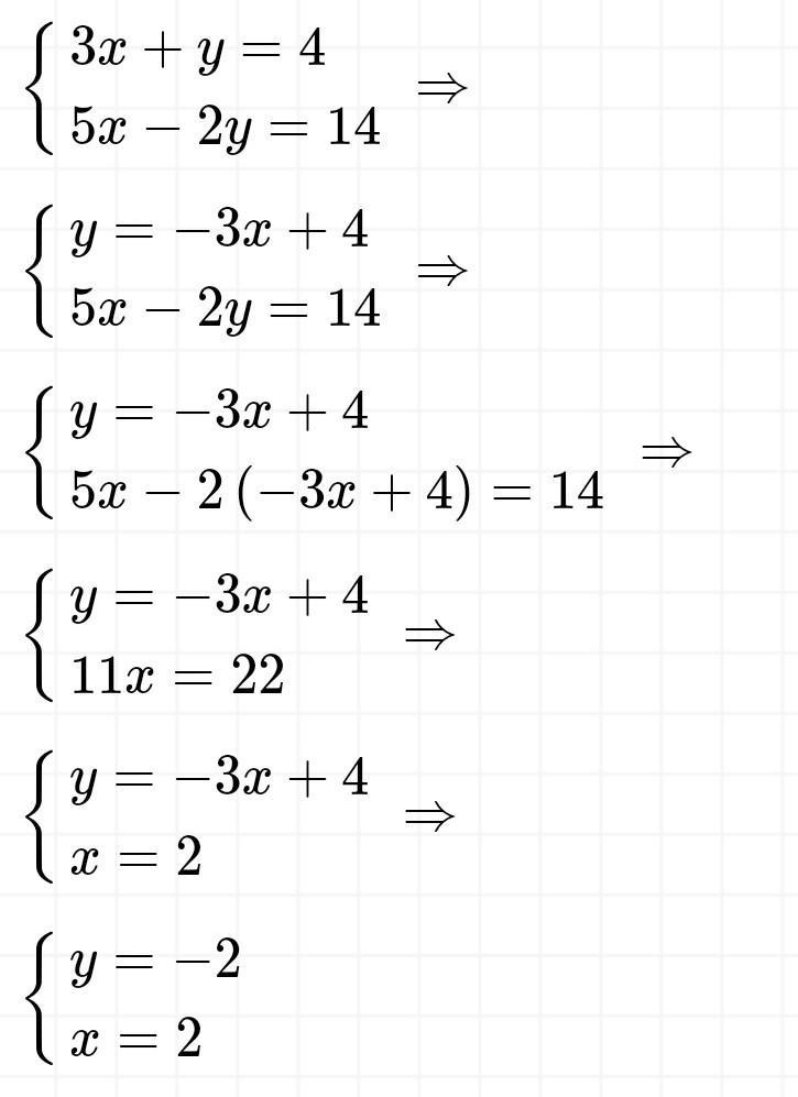
Решить систему уравнений способом подставки 3x+y=4,5x-2y=14 помогите пожалуйста

Ответы

Ответ дал: danel17110911
1

Ответ: х=2, у=-2 или (2;-2)

Приложения:

gaisanovwznaniah: Спасибо огромное
Ответ дал: neptuniumina
1

Ответ:

....................

Приложения:

gaisanovwznaniah: Спасибо огромное
Вас заинтересует