• Предмет: Математика
  • Автор: danilcenkodaniil18
  • Вопрос задан 7 лет назад

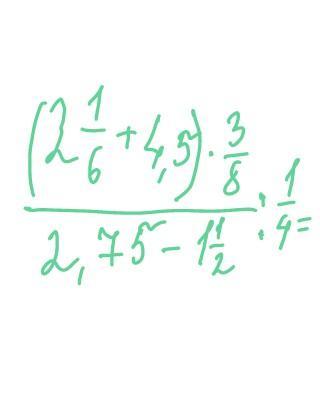
(2⅙+4,5)×⅜:2,75-1½:¼​

Приложения:

Ответы

Ответ дал: iramazurk
1

Ответ:

8

Пошаговое объяснение:

1) 2. 1/6 + 4,5 = 2. 1/6 + 4. 5/10 = 2. 5/30 + 4. 15/30 = 6. 20/30 = 6. 2/3

2) 6. 2/3 * 3/8 = 20/3 * 3/8 = 5/1 * 1/2 = 5/2 = 2,5

Это числитель

3) 2,75 - 1. 1/2 = 2,75 - 3/2 = 2,75 - 1,5 = 1,25

Это знаменатель

4) 2,5 : 1,25 = 2

Это результат дроби

5) 2 : 1/4 = 2 * 4/1 = 8/1 = 8

Ответ: 8


danilcenkodaniil18: Прошу разгадайте ребусы
Вас заинтересует