• Предмет: Математика
  • Автор: irinatener
  • Вопрос задан 7 лет назад

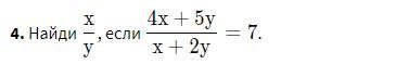
Решите задание пожалуйста!

Приложения:

Ответы

Ответ дал: floferum
1

Ответ:

-3

Пошаговое объяснение:

Приложения:

irinatener: Спасибо! Верно!
Вас заинтересует