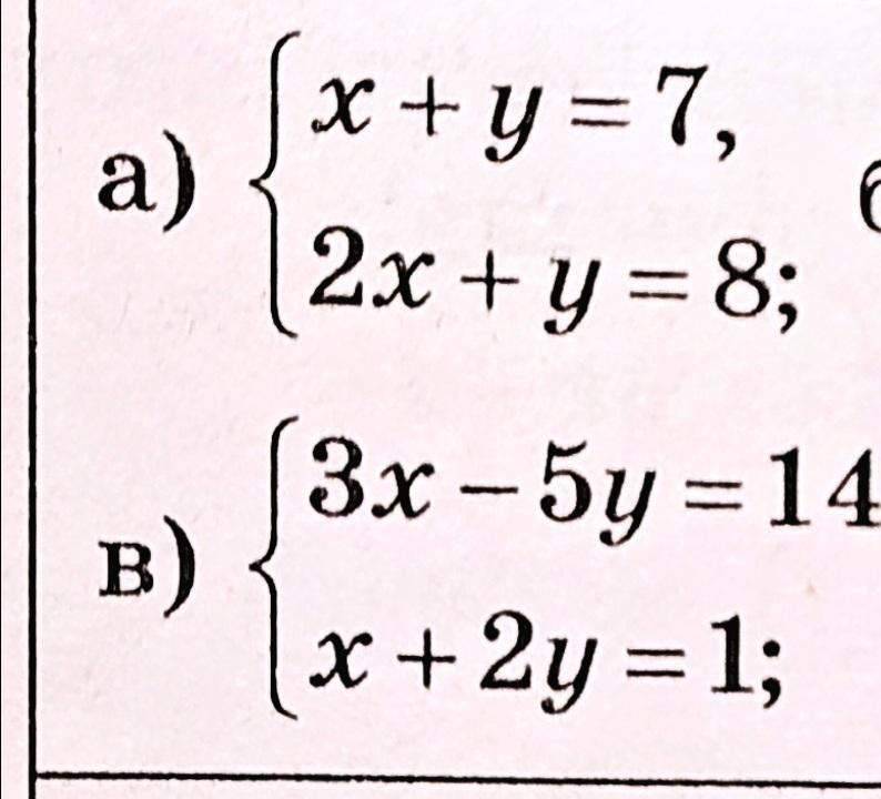
Розв'яжіть систему рівнянь способом підстановки. Срочно! Помогите хотя-бы с одним из
Приложения:

Ответы
Ответ дал:
0
Ответ:
(1; 6)
Объяснение:
х+у=7 (умножим на -1)
2х+у=8
-х-у=-7
2х+у=8
х = 1
2*1+у=8; у=6
Вас заинтересует
2 года назад
2 года назад
2 года назад
8 лет назад
8 лет назад
9 лет назад