• Предмет: Алгебра
  • Автор: sokursweta88
  • Вопрос задан 7 лет назад

Нужно решить по алгебре.
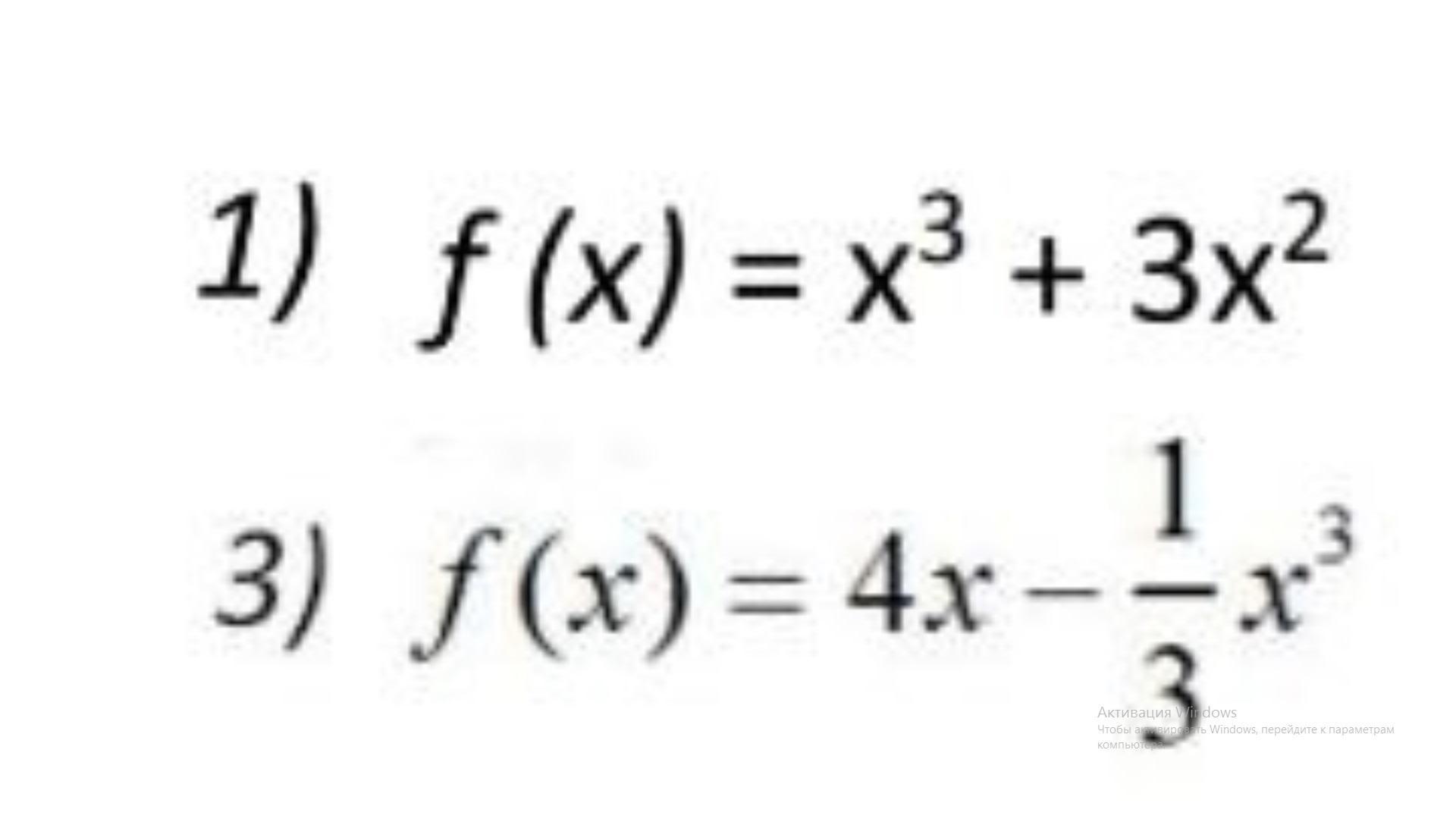
Задача: построить график функции (фото)
Готов заплатить реальным кэшем

Приложения:

Ответы

Ответ дал: HadjimeKokoaye
1

Ответ:

1. график:

Корни: (-3;0), (0;0)

Минимум: (0;0)

Максимум (-2;4)

Пересечение с осью координат: (0;0),

2. Корни:

(-2 корень 3;0)

(0;0)

(2 корень 3;0)

Минимум: (-2; -16/3)

Максимум: (2, 16/3)

Пересечение: (0;0)

Объяснение:

Области определения на третьем фото,

Минимум и максимум—Дополнительная информация(в моём обучении), не знаю, пишут ли у вас такое,

/*—Дробь обыкновенная,

Приложения:

sokursweta88: Кинь карту, куда можно кинуть за такой ответ
HadjimeKokoaye: Ты серьёзно что-ли? Воу..
Вас заинтересует