• Предмет: Алгебра
  • Автор: Mink0k
  • Вопрос задан 7 лет назад

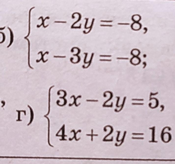
Розв'яжіть систему рівнянь способом підстановки. Срочно помогите хотя-бы с одним из

Приложения:

Ответы

Ответ дал: tania079765
1

Ответ:

х=-8+2у

8+2у-3у=-8

у=0

х=-8+2*0

х=-8

(х;у) (-8;0)

2у=16-4х

3х-(16-4х)=5

3х-16+4х=5

7х=5+16

7х=21

х=3

2у=16-4*3

2у=4

у=2

(х;у) (3;4)

Ответ дал: patalahadara4
1

Ответ:

1) х=2у-8

підставляємо це рівняння у друге замість х

2у-8-3у=-8

-1у=0

у=0

шукаємо х

х=2*0-8

х=0-8

х=-8

В-дь: (-8;0)

2) решается легко способом додавання

способом подстановки очень сложно, извиняюсь

Вас заинтересует