99 БАЛЛОВ!!!
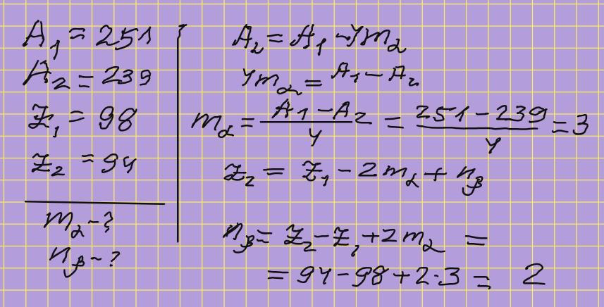
Ядро радіоактивного атома ²⁵¹₉₈Сf перетворилося на ядро ²³⁹₉₄Pu. Скільки відбулося α- і β-розпадів внаслідок цього перетворення?
Ответы
Ответ дал:
2
Відповідь: 3 α і 2 β-розпадів
Пояснення:
Приложения:
Вас заинтересует
2 года назад
2 года назад
3 года назад
3 года назад
8 лет назад
8 лет назад
10 лет назад