• Предмет: Алгебра
  • Автор: Amirbek3
  • Вопрос задан 7 лет назад

хелп пжпжпжппжжппжпжпж

Приложения:

Ответы

Ответ дал: natalyabryukhova
1

Ответ:

\displaystyle         \lim_{x \to \infty} \left(\frac{5x+3}{5x+2}\right)^x=e^{\frac{1}{5} }

Объяснение:

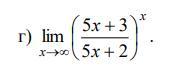
Вычислить предел:

\displaystyle         \lim_{x \to \infty} \left(\frac{5x+3}{5x+2}\right)^x

Второй замечательный предел:

\displaystyle         \lim_{n \to \infty} \left(1+\frac{1}{n\right)^n}=e

Преобразуем выражение:

\displaystyle         \lim_{x \to \infty} \left(\frac{5x+2+1}{5x+2\right)^x}  = \lim_{x \to \infty} \left(1+\frac{1}{5x+2\right)^x}

Пусть (5х + 2) = t, тогда

\displaystyle        x=\frac{t-2}{5} =\frac{t}{5}-\frac{2}{5}

\displaystyle        \lim_{t \to \infty} \left(1+\frac{1}{t\right)^{\frac{t}{5}-\frac{2}{5}  }}=    \lim_{t \to \infty} \left(1+\frac{1}{t\right)^{\frac{t}{5}  }}\cdot{\lim_{t \to \infty} \left(1+\frac{1}{t\right)^{-\frac{2}{5}  }}}=\\\\=\lim_{t \to \infty} \left(\left(1+\frac{1}{t\right)^{t  }\right)^{\frac{1}{5} }}\cdot1^{-\frac{2}{5} }=e^{\frac{1}{5} }

Вас заинтересует