• Предмет: Алгебра
  • Автор: Аноним
  • Вопрос задан 7 лет назад

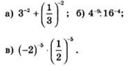
Вычислите Вычислите Вычислите

Приложения:

Ответы

Ответ дал: gulsumahatik
0

Ответ:

привет незнаю сам решай

Ответ дал: macheTr
0
А) 1/6 + 9 = 1/6 + 54/6 = 55/6 = 9 целых 1/6
Вас заинтересует