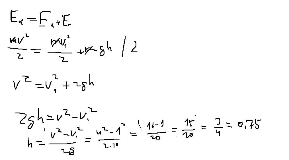
Тіло кинули вертикально вгору зі швидкістю 4 м/с. На якій висоті його швидкість зменшиться в 4 рази?
А) 0,25
Б) 0,55
В) 0,75
Г) 1
ПОМОГИТЕ ПОЖАЛУЙСТА
Ответы
Ответ дал:
0
Відповідь:
0.75
Пояснення:
Приложения:

Вас заинтересует
2 года назад
2 года назад
2 года назад
8 лет назад
8 лет назад
9 лет назад
9 лет назад