• Предмет: Алгебра
  • Автор: egorkadovgiy
  • Вопрос задан 7 лет назад

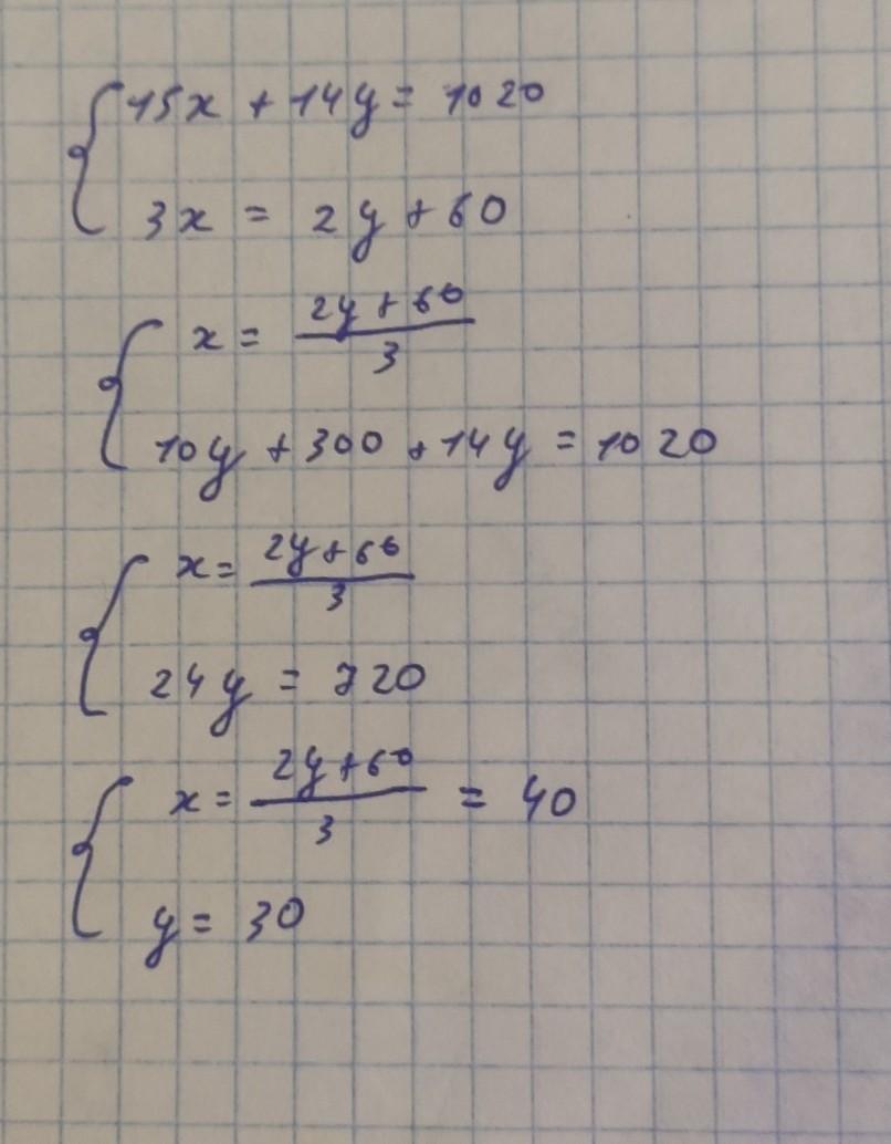
50б ""Розв'язати задачу за допомогою системи рівнянь"". Два робітники виготовили разом 1020 деталей. Перший робітник працював 15 днів, а другий - 14 днів. Скільки деталей виготовляв кожний робітник щодня, якщо перший робітник за 3 дні виготовив на 60 деталей більше, ніж другий за 2 дні?​

Ответы

Ответ дал: Hara80
2

Объяснение:

Смотри решение на фото.

Приложения:
Вас заинтересует