• Предмет: Алгебра
  • Автор: Аноним
  • Вопрос задан 7 лет назад

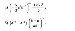
Преобразуйте в дробь

Приложения:

Ответы

Ответ дал: nepustilipoeta
1

Ответ:

а)-27b⁵/(a⁵)

б)(b+a)/(ab)

Объяснение:

при умножении степеней с одинаковыми основаниями показатели складываются,  при делении вычитаются. при возведении степени в степень показатели перемножаются.

при возведении произведения в степень возводят в степень каждый множитель. затем перемножают их.

а⁻ⁿ=1/аⁿ, где а≠0;

(-5/3)⁻³=(-27/125)

а) (-5а³b⁻²)⁻³*(125a⁴/b)=27*((-5)⁻³*(a³)⁻³*(b⁻²)⁻³*125*a⁴)/(b)=

-27*(125/125)*a⁻⁹⁺⁴*b⁶⁻¹=

=-27b⁵*a⁻⁵=-27b⁵/(a⁵)

б) (а⁻²-b⁻²)*(a*b/(b-a))=(1/a²-1/b²)(a*b/(b-a))=((b²-a²)/(ab)²)*(ab/(b-a))=

((b-a)(b+a)/((b-a)(ab))=(b+a)/(ab)

Вас заинтересует