• Предмет: Алгебра
  • Автор: sashashishkin77760
  • Вопрос задан 7 лет назад

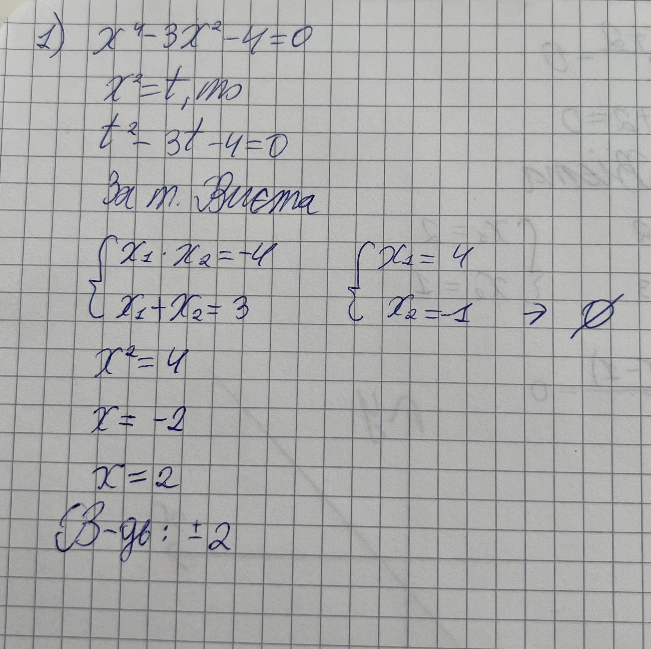
Решите уравнение: 1) x4 – 3x2 – 4 = 0; 2) (x2 – 2x)/(x – 7) = 35/(x – 7)

Ответы

Ответ дал: alina20080755
1

Ответ:

я смогла только 1 сделать

:

Приложения:
Вас заинтересует