Ответы
Ответ дал:
1
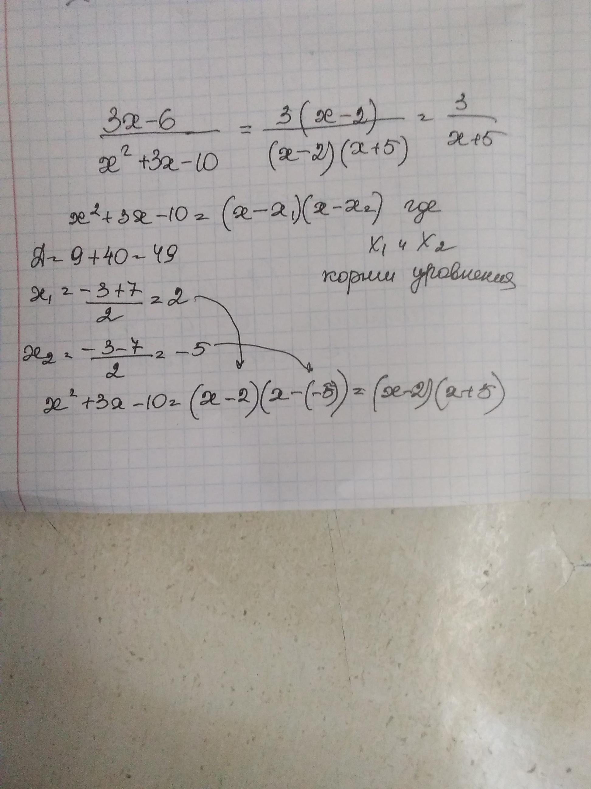
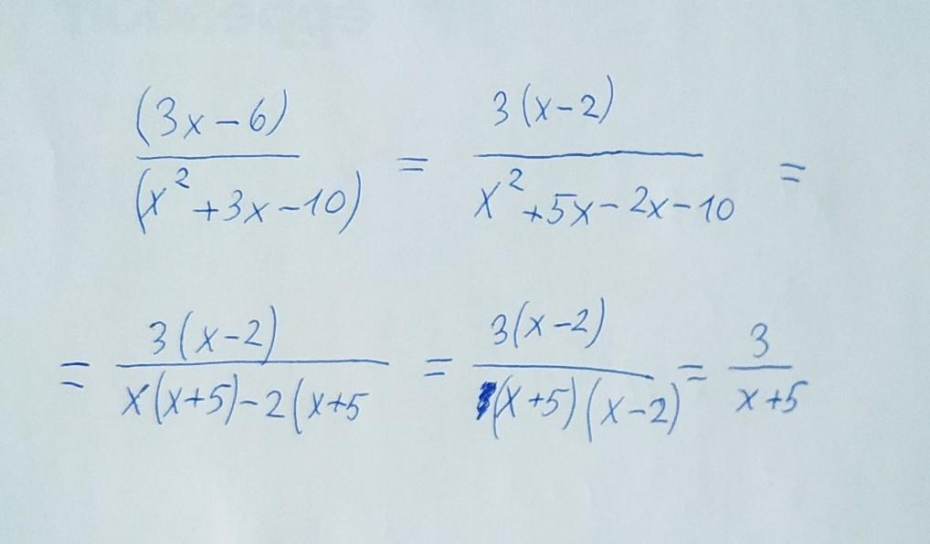
Смотри . .. .. . . . . . . . . . . ... . . ... . .. . .
Приложения:

Ответ дал:
2
Ответ:
3/х+5
Объяснение:
На фотографии
/////////
Приложения:

Вас заинтересует
2 года назад
2 года назад
2 года назад
2 года назад
8 лет назад
8 лет назад
9 лет назад