Ответы
Ответ дал:
2
Объяснение:
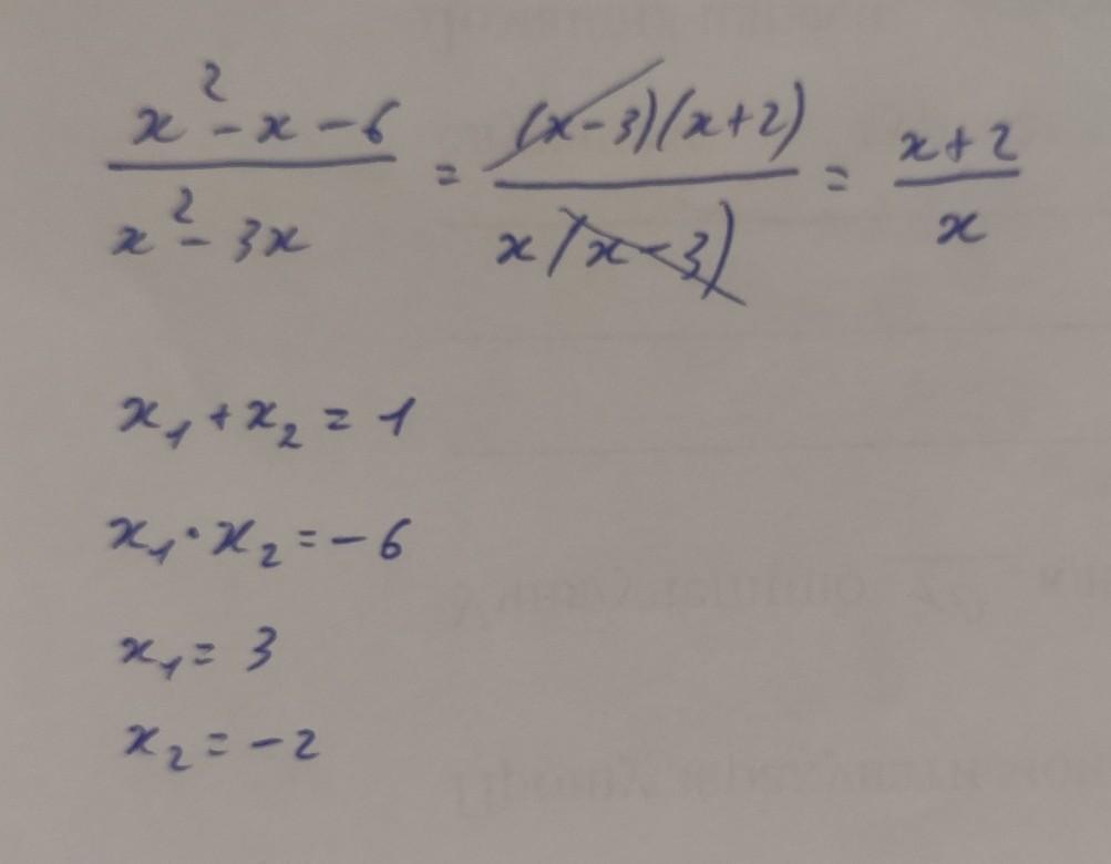
Прикрепил ответ на фото
Приложения:

Вас заинтересует
2 года назад
2 года назад
2 года назад
9 лет назад