ДАЮ ВСІ БАЛИ ЩО Є!!!!
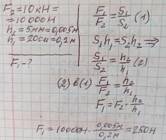
. У результат стискання детал гра пресом силою 10 кН великий поршень піднялся на 5 мм. Яку силу було прикладено до малого поршня, якщо опустився на 20 см?
Ответы
Ответ дал:
1
Відповідь: 250 Н
Пояснення:
Приложения:

akashiharuchio:
Дякую за відповідь, хай тебе бог береже
Вас заинтересует
2 года назад
2 года назад
2 года назад
8 лет назад
8 лет назад
9 лет назад