Ответы
Ответ дал:
2
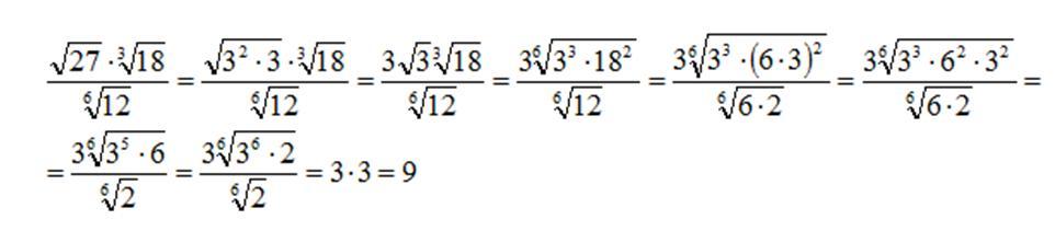
Ответ: 9.
Объяснение: См. решение и нужные формулы на рисунке.
Нужно:
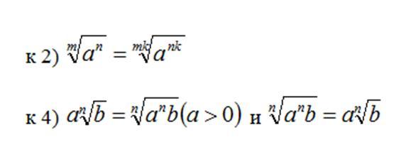
1) знать свойства степеней аⁿ · аˣ = аⁿ⁺ˣ; (аⁿ )ˣ = аⁿˣ и др.;
2) знать правило умножения и деления корней с разными показателями, т.е. уметь приводить корни к одному показателю, для чего и показатель корня и показатель степени подкоренного выражения умножают на одно и то же число;
3) уметь представлять число в виде степени: 27 = 3³ и т.п.;
4) уметь выносить (вносить) множитель из-под корня (под корень).
#SPJ1
Приложения:


Вас заинтересует
2 года назад
2 года назад
2 года назад
2 года назад
8 лет назад