• Предмет: Алгебра
  • Автор: varvara1132
  • Вопрос задан 7 лет назад

помогите пожалуйста с алгеброй! срочно надо!

Приложения:

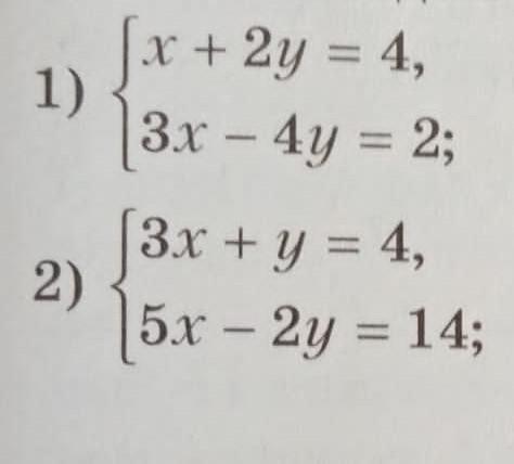
varvara1132: надо решить систему линейного уравнения методом подстановки

Ответы

Ответ дал: karinashmoyilova
1

Ответ:ответ и пояснение на фото

Объяснение:

Приложения:
Вас заинтересует