Ответы
Ответ дал:
1
Ответ:
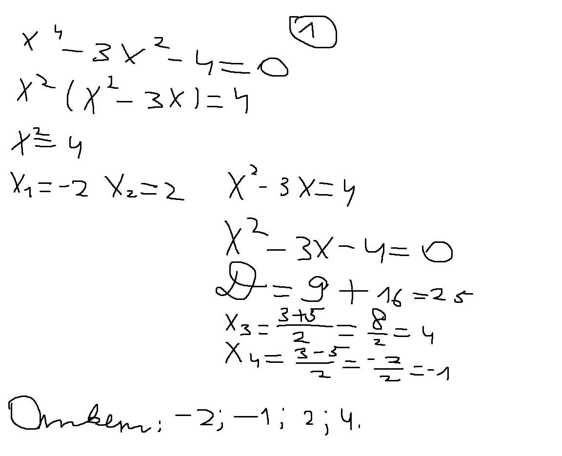
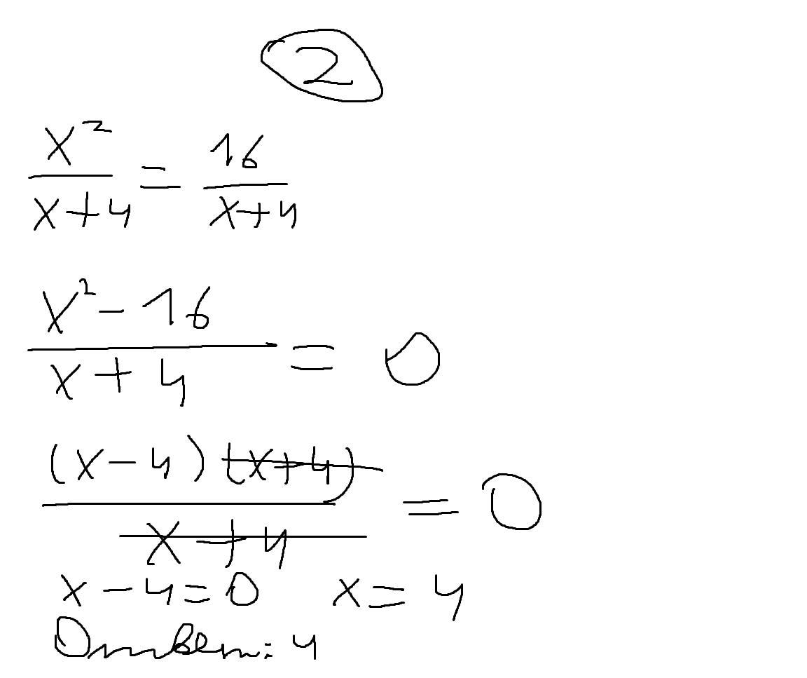
1) -2; -1; 2; 4. 2) 4.
Объяснение:
Приложения:


Вас заинтересует
2 года назад
2 года назад
2 года назад
8 лет назад
8 лет назад