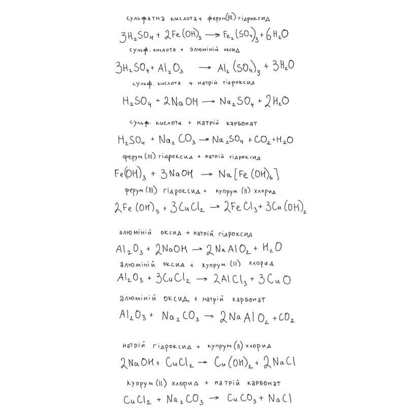
12. Вкажіть, які речовини реагують між собою: сульфатна кислота, ферум (ІІІ) гідроксид, вода, алюміній оксид, натрій гідроксид, купрум (ІІ) хлорид, натрій карбонат. Напишіть рівняння відповідних реакцій,
Ответы
                                            Ответ дал: 
                                                                                            
                                                    
                                                
                                                                                    
                                        
                                            
                                                
                                                
                                                
                                                    19
                                                
                                            
                                        
                                    
                                        інші не реагують між собою
                                    
                                                Приложения:
                     
                            
                    mereutzaiwan88:
                    пасиба
                
            Вас заинтересует
                
                        2 года назад
                    
                
                        2 года назад
                    
                
                        2 года назад
                    
                
                        8 лет назад
                    
                
                        8 лет назад
                    
                
                        9 лет назад