Ответы
Ответ дал:
0
Ответ:
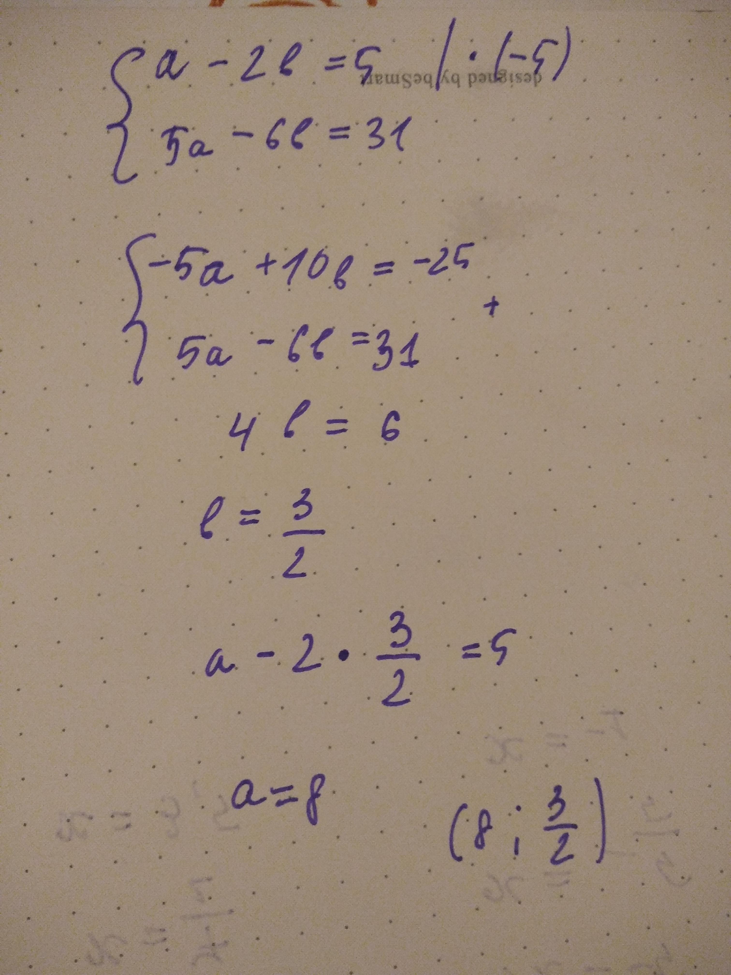
а=8 b=1,5
Объяснение:
.............................
Ответ дал:
0
ОтветОтветОтветОтветОтветОтветОтОтветОтветОтветОтветОтветОтветООтветОтветОтветОтветОтветОтветОтОтветветОтвет: вроде правильно.Нправильно.Надеюсь,что помогла)
Объяснение:Объяснение:ОтвеОтвеОтвеОтве
Приложения:

Вас заинтересует
2 года назад
2 года назад
2 года назад
2 года назад
8 лет назад
8 лет назад
9 лет назад