• Предмет: Алгебра
  • Автор: irinayakovleva335
  • Вопрос задан 7 лет назад

Пожалуйста помогите ,дам 15 балов​

Приложения:

Anonimo2007: А домножение можно использовать?
Anonimo2007: С ним можно без дробей работать, удобно...
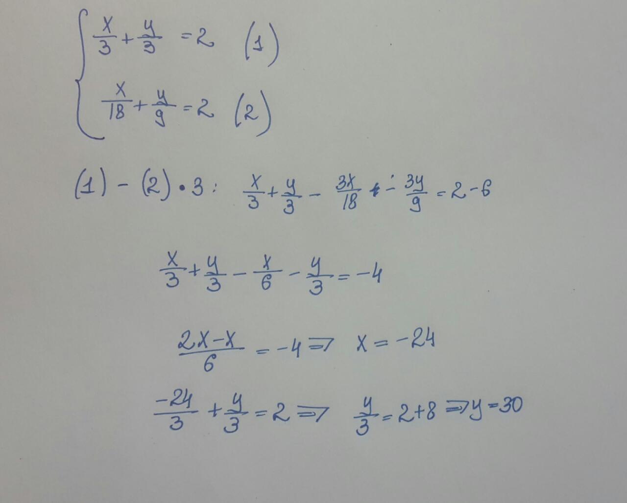
nuscha2015: (-24; 30 )

Ответы

Ответ дал: Anonimo2007
0

Ответ:

-24; 30

Объяснение:

Приложения:
Вас заинтересует