• Предмет: Физика
  • Автор: kazackaam
  • Вопрос задан 7 лет назад

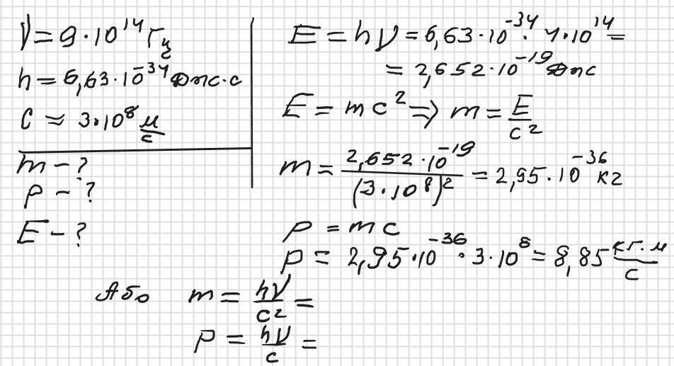
Визначте масу, імпульс і енергію фотона з частотою 9·10^14 Гц.

Ответы

Ответ дал: zybkov1950
0

Відповідь: Див. додаток

Пояснення:

Приложения:
Вас заинтересует