• Предмет: Алгебра
  • Автор: anna063pink
  • Вопрос задан 7 лет назад

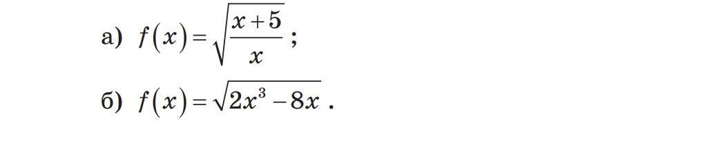
помогите пожалуйста найти одз​

Приложения:

Ответы

Ответ дал: manyny06
2

Ответ:

решение смотри на фотографии

Приложения:

anna063pink: спасибо огромное!!!
Вас заинтересует