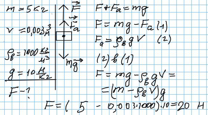
Що покаже динамометр, якщо підвішене до нього тіло масою 5 кг та об’ємом 0,003 м 3 повністю занурити у воду?
Ответы
Ответ дал:
1
Відповідь: 20 Н
Пояснення:
Приложения:
Вас заинтересует
2 года назад
2 года назад
3 года назад
3 года назад
8 лет назад
8 лет назад
10 лет назад
10 лет назад