• Предмет: Алгебра
  • Автор: polianna1234
  • Вопрос задан 7 лет назад

Задание 1.

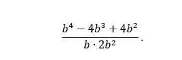
Задано выражение:



а) Упростите данное выражение (12 баллов).

б) Найдите значение упрощённого выражения при b = 4 (5 баллов).

Приложения:

Ответы

Ответ дал: goremyka
0

ответ на фото..................!

Приложения:
Вас заинтересует