• Предмет: Математика
  • Автор: vikapanos
  • Вопрос задан 7 лет назад

РЕБЯТА ПОМОГИТЕ РЕШИТЬ ПОЖАЛYЙСТА
Срочно!
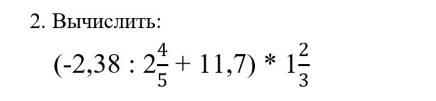
ПО ДЕЙСТВИЯМ

Приложения:

Ответы

Ответ дал: Lilletta
0

Ответ:

18 1/12

Пошаговое объяснение:

1) -2,38:2 4/5 = -2,38 : 2,8 = -0,85

2)-0,85 + 11,7 = 10,85

3)10,85 * 1 2/3 = 10,85 * 5/3 = 54,25/3 = 18 1/12

Вас заинтересует