Даю 100 балов,
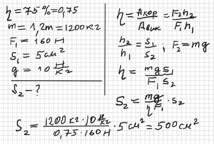
4. Гідравлічною машиною з ккд 75% підіймають вантаж масою 1,2 т. Знайти площу більшого поршня машини, якщо до
меншого поршня прикладена сила 160 H. Площа меншого поршня 5 см.
Ответы
Ответ дал:
4
Відповідь: 500 см²
Пояснення:
Приложения:

https://znanija.com/task/49366960
https://znanija.com/task/49367049
https://znanija.com/task/49367300
https://znanija.com/task/49367408
https://znanija.com/task/49367440
https://znanija.com/task/49367531
https://znanija.com/task/49367623
https://znanija.com/task/49367678
Вас заинтересует
2 года назад
2 года назад
2 года назад
8 лет назад
8 лет назад
9 лет назад
https://znanija.com/task/49365992
https://znanija.com/task/49366065
https://znanija.com/task/49366208
https://znanija.com/task/49366367
https://znanija.com/task/49366476
https://znanija.com/task/49366558
https://znanija.com/task/49366660
https://znanija.com/task/49366740
https://znanija.com/task/49366825