• Предмет: Математика
  • Автор: legorsitik
  • Вопрос задан 7 лет назад

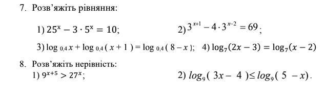
Помогите срочно несколько заданий. Умоляю времени очень мало. Заранее спаси бо.

Приложения:

Ответы

Ответ дал: manyny06
1

Ответ:

решение смотри на фотографии

Приложения:
Вас заинтересует