• Предмет: Математика
  • Автор: Shawee
  • Вопрос задан 7 лет назад

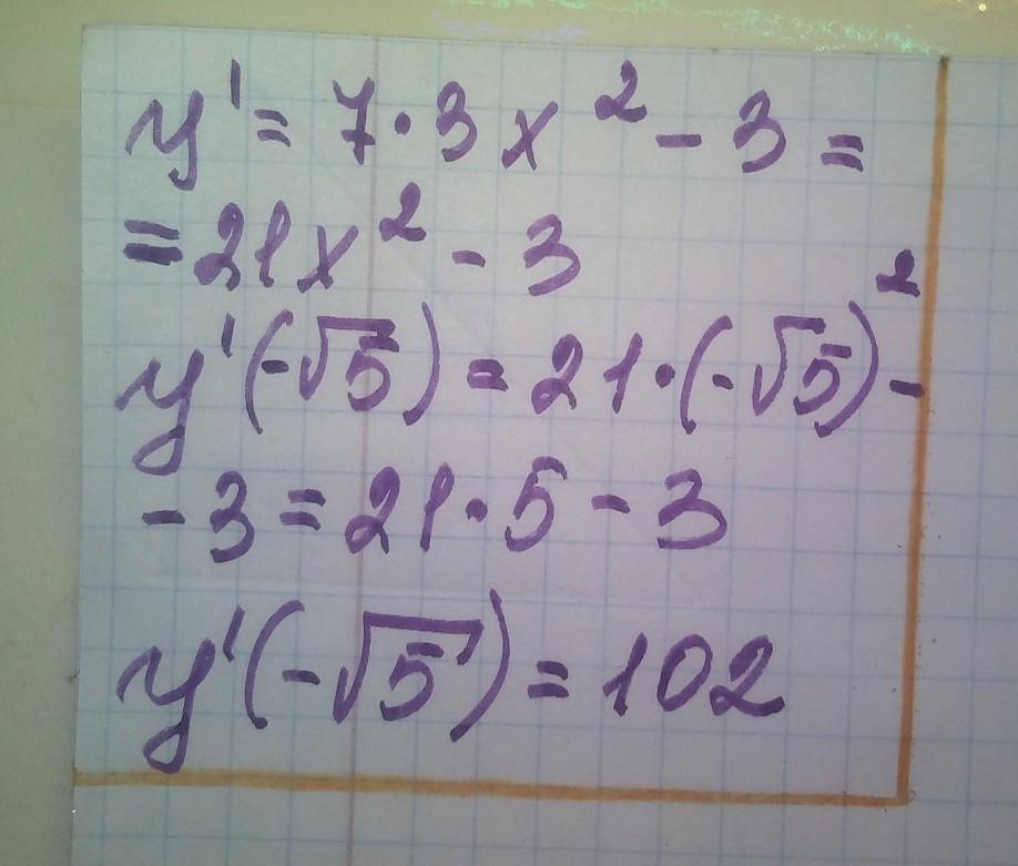
ДАЮ 50 БОЛЛОВ!!!Обчисліть значення похідної функції y=7x³-3x+0.25 у точці x=-√5

Ответы

Ответ дал: manyny06
0

Ответ:

решение смотри на фотографии

Приложения:
Вас заинтересует