Ответы
Ответ дал:
1
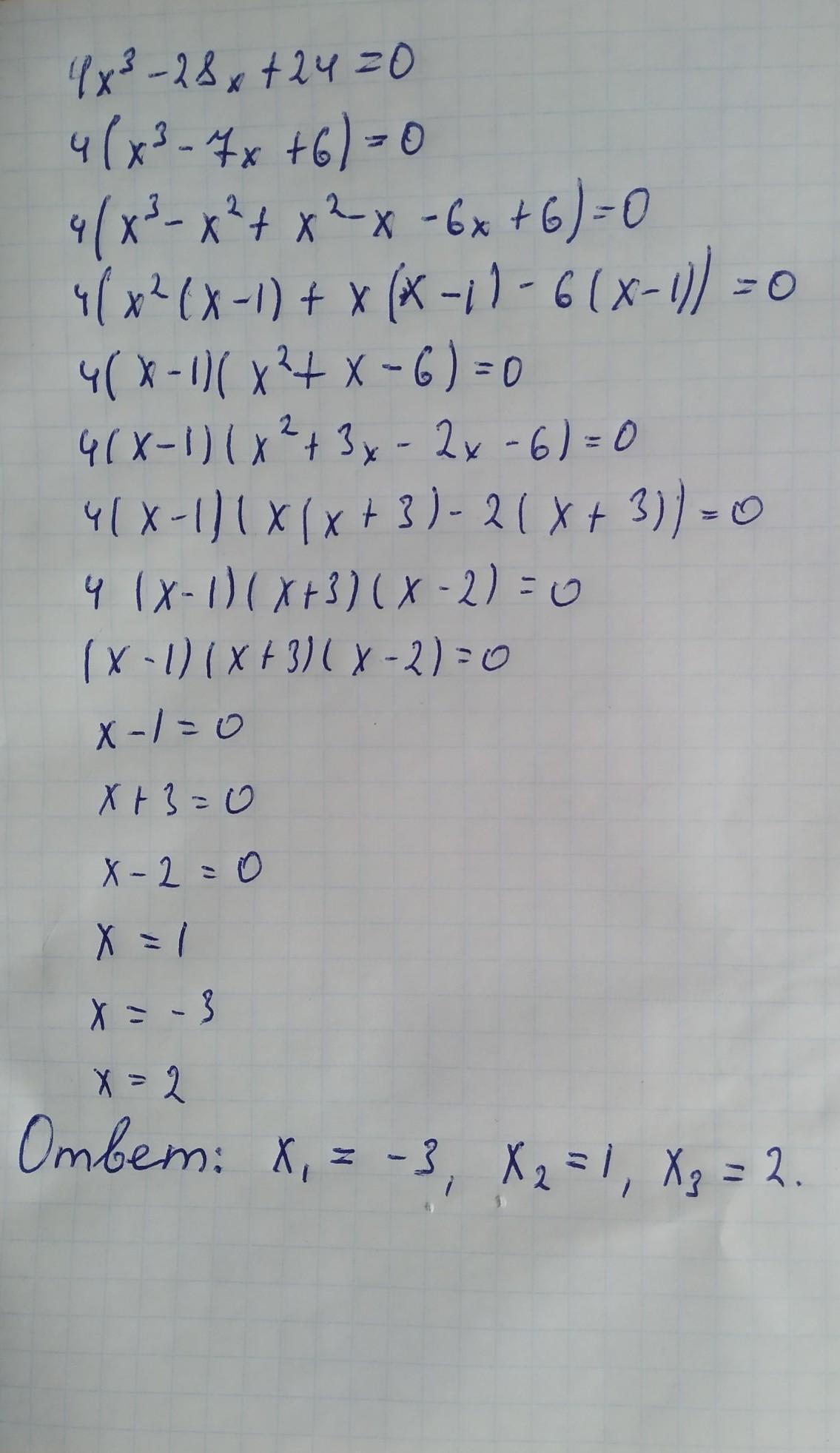
Далее мы применим схему Горнера
откуда следует что
х - 1 = 0 или
x=1 или
Далее решаем квадратное уравнение по т. Виета
x=-3 или х=2
Ответ: 1; -3; 2
Ответ дал:
0
Ответ:
Если неправильно то простите))
Приложения:

Вас заинтересует
2 года назад
2 года назад
8 лет назад
8 лет назад
9 лет назад
9 лет назад