Ответы
Ответ дал:
1
Ответ:
Ответ дал:
1
Пошаговое объяснение:
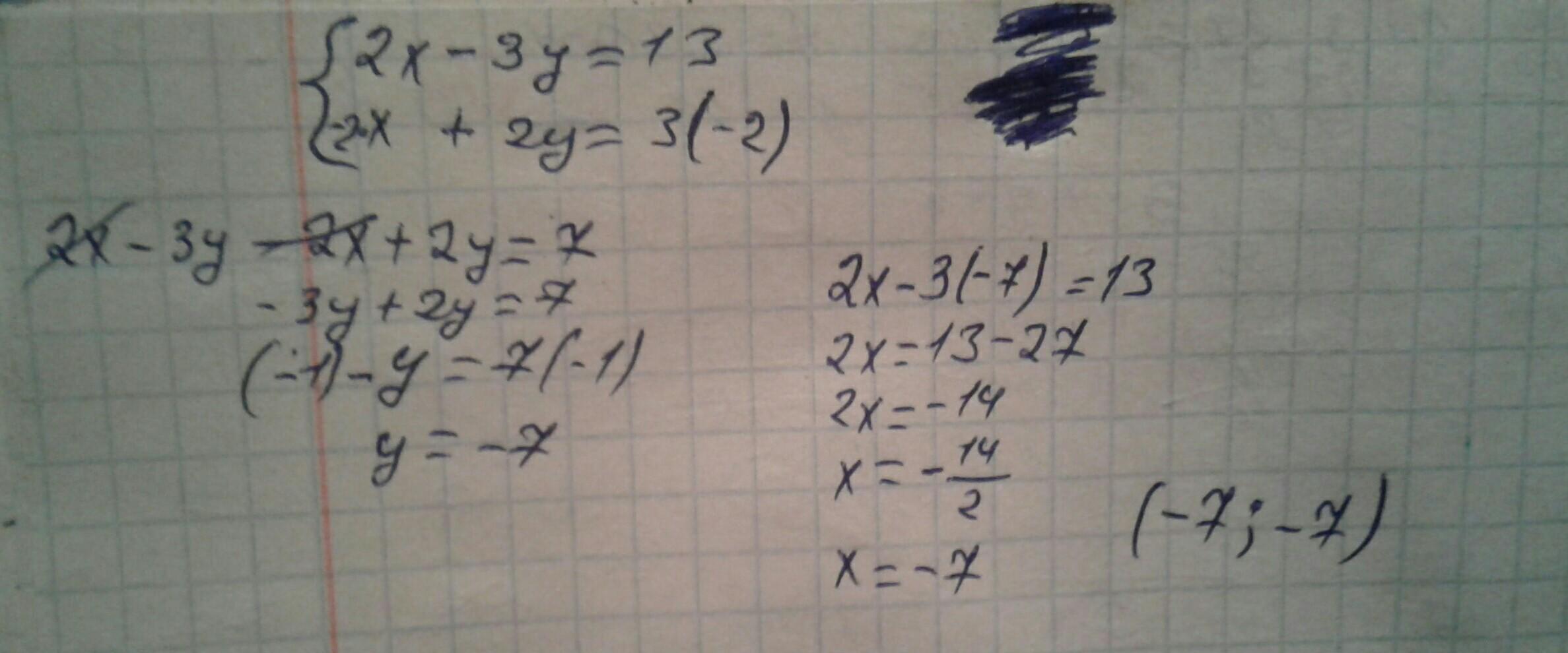
- 2x-3y-2x+2y=7
- плюс и минус 2x ликвидицируется
- -3x+2y=7
- -y=7
- обе стороны умножаем на (-1)
- y= -7
2)поставим вместо y (-7)
- 2x-3 (-7)=13
- 2x=13-27
- 2x= -14
- x= -14:2
- x= -7
ответ:(-7;-7)
Приложения:

Вас заинтересует
2 года назад
2 года назад
2 года назад
9 лет назад
9 лет назад