• Предмет: Алгебра
  • Автор: olinykanhelina
  • Вопрос задан 7 лет назад

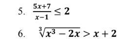
ПОМОГИТЕ С ЗАДАНИЯМИ ПОЖАЛУЙСТА! УМНЫЕ

Приложения:

Ответы

Ответ дал: Evreika77
1

Ответ:

Объяснение:

Смотри

Приложения:

olinykanhelina: БЛАГОДАРЮ!\
Вас заинтересует