За 3 вопроса 50 Балов Срон
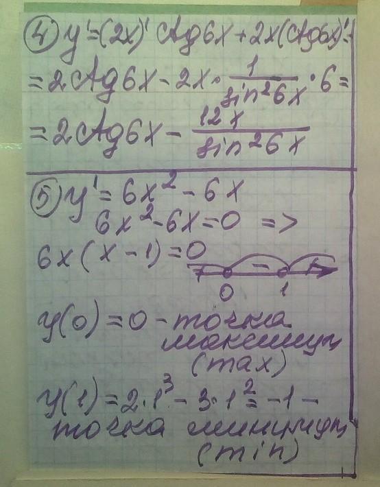
4.найдите производную сложенной 5.функции найти экстремум функции 6.Найдите наибольшее и наименьшее значение функции на отрезке
Приложения:
Ответы
Ответ дал:
1
Ответ:
решение смотри на фотографии
Приложения:
BlackFox2030:
Добрый вечер. можете пожалуйста помочь с алгеброй?
Вас заинтересует
2 года назад
2 года назад
3 года назад
3 года назад
8 лет назад
8 лет назад
10 лет назад
10 лет назад