• Предмет: Алгебра
  • Автор: Tyankatvoya
  • Вопрос задан 7 лет назад

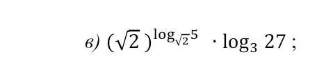
помогите!!!! пожалуйста!!!​

Приложения:

Ответы

Ответ дал: MizoriesKun
1

Смотри . . .. .... ... ... .... .

Приложения:

Tyankatvoya: спасибо большое!
Ответ дал: qwqudzu
2

Ответ:

но я не уверена

........

Приложения:
Вас заинтересует