Ответы
                                            Ответ дал: 
                                                                                    
                                        
                                            
                                                
                                                
                                                
                                                    1
                                                
                                            
                                        
                                    Ответ:
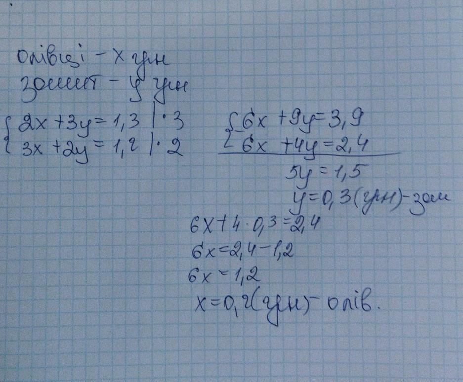
тетрадь стоит 0.3 грн, карандаш 0.2 грн
Объяснение:
надеюсь все понятно
Приложения:
                     
                            
                    zeod:
                    огромное спс
                
            
                                            Ответ дал: 
                                                                                    
                                        
                                            
                                                
                                                
                                                
                                                    0
                                                
                                            
                                        
                                    Ответ.
Пусть карандаш стоит х грн, а тетрадь у грн.
Тогда 2 карандаша и 3 тетради стоят 2х+3у=1,3 .
А 3 карандаша и 2 тетради стоят 3х+2у=1,2 .
Решим систему уравнений .
Карандаш стоит 0,2 грн=20 коп , тетрадь стоит 0,3 грн=30 коп .
Вас заинтересует
                
                        2 года назад
                    
                
                        2 года назад
                    
                
                        2 года назад
                    
                
                        2 года назад
                    
                
                        8 лет назад
                    
                
                        9 лет назад
                    
                
                        9 лет назад