• Предмет: Математика
  • Автор: al5864117
  • Вопрос задан 7 лет назад

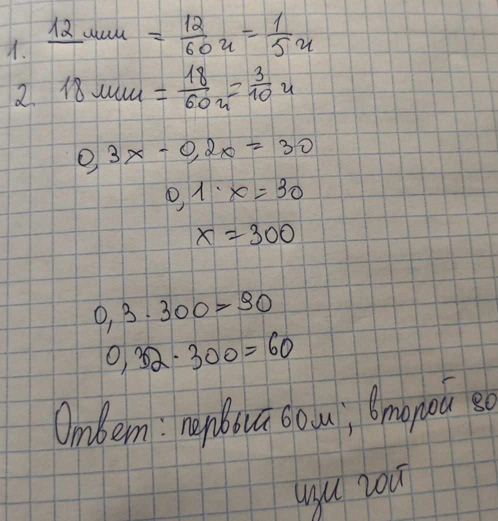
10 Реши задачу. Дети собрали две модели лунохо- дов. Один работал 12 минут, другой - 18 минут. Причём второй преодолел расстояние на 30 метров больше, чем первый. Сколько метров преодолел каждый луноход?
ПОМОГИТЕ ПОЖАЛУЙСТА СРОЧНО НУЖНО РЕШИТЬ ЗАДАЧУ С УСЛОВИЕМ​

Ответы

Ответ дал: typoudebil666
0

Ответ:

смотри ниже

Пошаговое объяснение:

18-12 = 6 мин - на столько дольше работа второй луноход.

30:6 = 5 м/мин - скорость луноходов.

5·12 = 60 м преодолел первый луноход.

5·18 = 90 м преодолел второй луноход.


alimakaaar: x=10
alimakaaar: ой число перепутала ну принцип тот же
typoudebil666: сам бот
al5864117: а условие?
alimakaaar: ну сама запиши
alimakaaar: легко ведт
alimakaaar: условие
typoudebil666: условие это легко сама запиши
alimakaaar: 1 - 12 мин 2- 18 мин 18x-12x=30м
alimakaaar: изи гой
Ответ дал: alimakaaar
0

Пошаговое объяснение:

не благодари ) сделай лучший ответ пж

Приложения:

typoudebil666: го я тебе 5 звёзд поставлю а ты мне
typoudebil666: на ответ ?
alimakaaar: го
typoudebil666: я оценил
alimakaaar: ставь
typoudebil666: я поставил
alimakaaar: омагад
alimakaaar: ура
typoudebil666: поставь мне пж
typoudebil666: спасибо
Вас заинтересует