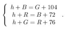
Оля купила три подарка и упаковала их в три прямоугольные коробки: синюю, красную и зелёную. Она попробовала поставить эти подарки разными способами: один на стол и два друг на друга на пол. На рисунке даны некоторые расстояния.
Найдите высоту стола ℎ. Ответ выразите в сантиметрах
Приложения:

Ответы
Ответ дал:
0
Обозначим коробки: синяя - Blue, красная - Red и зелёная - Green
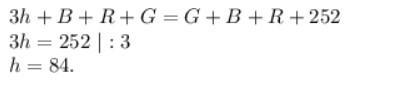
Суммируем эти уравнения
Ответ: h=84 см.
Приложения:


Ответ дал:
0
Ответ:
Ответ: h=84 см
Пошаговое объяснение:
Вас заинтересует
2 года назад
2 года назад
2 года назад
8 лет назад
9 лет назад